Один из самых частых анализов при беременности – исследование мочи. Эта субстанция может дать знать отслеживающему состояние специалисту о многих нюансах самочувствия женщины. Первые признаки беременности моча делает очевидными не только для врача, но и будущей мамочки. Она же способна указать на недомогание, требующее немедленного вмешательства.
Первый анализ мочи: зачем он нужен
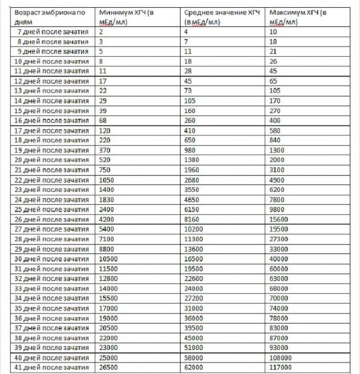
Сразу после появления в теле женщины эмбриона, его оболочки, развиваясь, начинают производить вещество, которого при других обстоятельствах в ее организме быть не должно. Это хорионический гонадотропин человека или сокращенно ХГЧ, обнаруживающийся в крови и моче. В первом случае провести исследование самостоятельно невозможно. Оно делается только в лабораторных условиях. Да в этом и нет необходимости, ведь первые признаки беременности преподнесет «на блюдечке» моча. Если капнуть ее на тест-полоску, индикатор покажет наличие плодного яйца. Есть средства, способные выявить зачатие со стопроцентной точностью.
Значения ХГЧ в зависимости от срока развития эмбриона
Но это не самое главное свойство мочи в данном периоде. Обнаружить беременность можно и другими методами. Новое состояние организма с первых дней нагружает выделительную систему, и она начинает функционировать вдвойне. С ростом плода увеличивается и механическое давление на почки. Все это облегчает проникновение в организм инфекций, которые долгое время могут «дремать» и никак иначе не обнаруживаться. А по цвету мочи и, тем более, анализу можно выявить заболевание, пока оно не успело привести к угрожающим последствиям.
Моча беременной женщины может рассказать о множестве важных аспектов её здоровья и состояния плода. Врачи отмечают, что на ранних сроках беременности анализ мочи позволяет выявить наличие беременности, а также оценить функцию почек и уровень гидратации. Появление белка в моче может свидетельствовать о возможных осложнениях, таких как преэклампсия. Кроме того, анализ может показать наличие инфекций мочевыводящих путей, что также требует внимания. Врачи подчеркивают, что регулярные анализы мочи помогают контролировать здоровье как матери, так и ребенка, позволяя своевременно реагировать на любые отклонения. Таким образом, моча является важным индикатором состояния здоровья беременной женщины.

На что укажет цвет мочи
Анализ мочи беременной приходится делать за весь период несколько раз. Ведь на каждом сроке значения существенно разнятся. Но беременная и сама должна обращать внимание на самочувствие. Первые признаки беременности по цвету мочи покажут молодой женщине, что в ее теле начала зарождаться новая жизнь. На этот критерий влияет:
- концентрация жидкости;
- количество пигментов;
- образ питания;
- качество работы почек.
Нельзя не учитывать и роль меняющихся при беременности гормонов.
Желтый цвет: к чему готовиться?
Желтая моча признак здоровой беременности, свидетельствует о хорошей работе выделительной системы. Но выглядеть он может по-разному и оцениваться так же. Бледно-желтый, почти прозрачный фиксируется при низкой концентрации здесь опасаться нечего. Так бывает, если женщина пьет много воды. При нормальном самочувствии все его оттенки можно рассматривать как норму. Желтый цвет определяется регулярным возникновением в крови новых эритроцитов. Старые кровяные тельца при этом разрушаются с образованием гемоглобина. Это вещество организм еще использует, а его красящие элементы попадают в выделительную систему и придают моче разные оттенки желтого.
Его же обеспечивают жидкости витамины. Ярко желтая моча признак беременности, при которой принимают фолиевую кислоту и другие минеральные комплексы. Вещества всасываются в кишечнике не целиком. Часть их выводится почками. То же бывает при использовании беременной препаратов, содержащих нитрофуран. Употребление в пищу моркови, тыквы, других продуктов с желтым пигментом придает моче более насыщенный цвет.
Потемнеть желтизна может тогда, когда женщина ограничивает потребление жидкости. В моче увеличивается количество урохромов, уробилина, что и придает ей такой оттенок. То же может обнаружиться и при вынужденном обезвоживании, которое бывает из-за токсикоза. Частая рвота не дает жидкости задерживаться в организме, что выражается в потемнении нормального желтого цвета мочи. Аналогичный признак бывает при сердечной недостаточности, которая провоцирует застой воды, отеки.
Иногда цвет мочи вводит молодых мамочек в состояние шока. Чтобы этого не случилось, при сборе мочи для анализов необходимо избежать попадания первых капель испражнений в емкость.
Во время беременности анализ мочи становится важным инструментом для оценки состояния здоровья женщины и развития плода. На ранних сроках беременности моча может рассказать о многих аспектах. Например, наличие хорионического гонадотропина (ХГЧ) указывает на успешное зачатие. Также анализ может выявить уровень белка, который может сигнализировать о возможных осложнениях. Изменения в цвете и запахе мочи могут свидетельствовать о дегидратации или наличии инфекций. Многие женщины отмечают, что частое мочеиспускание связано с увеличением объема крови и давлением на мочевой пузырь. Таким образом, анализ мочи помогает не только контролировать здоровье матери, но и следить за развитием малыша.

Всегда ли опасно потемнение мочи
Анализируя первые признаки беременности, темная моча обязательно привлечет внимание и вызовет беспокойство. Далеко не всегда это свидетельствует о заболевании. Если женщина утром заметила темный цвет мочи, ей стоит вспомнить, что она ела накануне. Потому что, например, говядина, шоколад, ягоды могут вызвать подобные изменения. При исключении на пару дней пищи с красящими пигментами, употреблении в достаточном количестве воды, цвет вернется к обычному, то есть равномерному желтому.
Обратите внимание: утренняя моча бывает темнее обычного, так как в течение ночи увеличивается концентрация в ней естественного пигмента. Это происходит из-за того, что мочевой пузырь долгое время остается наполненным.
Если цвет сохраняется темным несмотря на принятые меры, необходимо обследоваться. Особенно если состояние осложняется следующими симптомами: слабостью, температурой, резями в животе, потребностью часто бегать в туалет. Темная моча может быть признаком:
- Гепатита. В данном случае и кал приобретает несвойственный ему светлый оттенок.
- Цистита. Эта болезнь даст о себе знать болью от ноющей до очень сильной в районе мочевого пузыря.
- Желче-каменной болезни. В моче появляются темные вкрапления, а сама она приобретает зеленоватый оттенок.
- Мочекаменной болезни, пиелонефрита. Яркая моча признак беременности, протекающей на фоне этих заболеваний. Она бывает красного или коричневатого цвета из-за кровавых добавлений в жидкости.
- Меланоме. В данном случае моча приобретет черный цвет.
О чем скажет мутная консистенция?
В оценке жидкости, производимой выделительной системой, значение имеет не только цвет, но и структура. Мутная моча признак беременности, который проявляется при увеличении в ней солей. Это бывает из-за неправильного питания, насыщенного белковой, соленой и острой пищей. В моче увеличиваются оксалаты, фосфаты, ураты, являющиеся продуктами переработки еды. Они и придают жидкости мутный вид. Но опасность не во внешних изменениях, а в том, что это дополнительный фактор возникновения нарушений в мочевыделительной системе. Риск появления цистита, пиелонефрита возрастает. В данном случае помутнение мочи – сигнал к необходимости изменения питания.
Тот же признак может обнаружиться при уже настигших заболеваниях:
- воспалительном процессе в мочевыделительных органах (в жидкости отмечается слизь, гнойные выделения, эритроциты);
- сахарном диабете, при котором имеющийся осадок по цвету будет светлее обычного.
Более безобидной причиной появления в моче мутности могут стать влагалищные выделения. Всем известно, что их объем при беременности увеличивается. Они выглядят как бесцветные хлопья, плавающие в жидкости. Наконец, мутная моча может выглядеть такой, если собрать ее в плохо вымытую пробирку.
Рекомендуем также прочитать статью мазня на ранних сроках беременности. Из нее вы узнаете, насколько опасны выделения, о чем они могут свидетельствовать, а также что нужно делать в случае их появления.
Когда пытаются определить первые признаки беременности, моча становится не самым точным из них. Ее цвет, состав и консистенция могут указывать на заболевание, а не на зарождение новой жизни. При выявлении беременности с помощью теста вероятны ложноположительные или ложноотрицательные результаты. Но происходящие в моче изменения помогут распознать неполадки в функционировании организма раньше, чем он даст знать об этом болью или иными симптомами. Любые сомнения относительно вида мочи должны разрешаться при посещении врача. И все же не стоит сразу паниковать, если будущей мамочке показалось, что жидкость изменилась! Этому может быть вполне простое и естественное объяснение.

Вопрос-ответ
Какие изменения в составе мочи могут указывать на беременность?
На ранних сроках беременности в моче могут наблюдаться изменения, такие как наличие хорионического гонадотропина (ХГЧ), который является гормоном, вырабатываемым плацентой. Его уровень можно определить с помощью тестов на беременность. Также может увеличиваться уровень белка и изменяться цвет мочи, что может свидетельствовать о различных состояниях организма.
Какое значение имеет анализ мочи для определения здоровья беременной женщины?
Анализ мочи на ранних сроках беременности помогает выявить возможные проблемы, такие как инфекции мочевыводящих путей, диабет или преэклампсия. Регулярный мониторинг состояния мочи позволяет врачам своевременно реагировать на изменения и обеспечивать здоровье как матери, так и плода.
Как часто следует сдавать анализ мочи во время беременности?
Рекомендуется сдавать анализ мочи на каждом плановом приеме у врача в течение беременности. Это позволяет отслеживать изменения в состоянии здоровья и выявлять возможные осложнения на ранних стадиях, что очень важно для благополучия как матери, так и ребенка.
Советы
СОВЕТ №1
Обратите внимание на цвет и запах мочи. Нормальная моча во время беременности должна быть светло-желтого цвета и не иметь резкого запаха. Если вы заметили изменения, такие как темный цвет или сильный запах, это может быть признаком обезвоживания или инфекции, и стоит обратиться к врачу.
СОВЕТ №2
Следите за частотой мочеиспускания. Увеличение частоты мочеиспускания на ранних сроках беременности может быть нормальным, но если вы испытываете дискомфорт или боль, это может указывать на проблемы, такие как инфекция мочевыводящих путей.
СОВЕТ №3
Обратите внимание на наличие пены или осадка в моче. Пена может указывать на наличие белка, что может быть признаком преэклампсии. Если вы заметили такие изменения, обязательно проконсультируйтесь с врачом.
СОВЕТ №4
Регулярно проходите медицинские обследования. Анализы мочи являются важной частью пренатального ухода, и регулярные проверки помогут выявить возможные проблемы на ранних сроках беременности.




